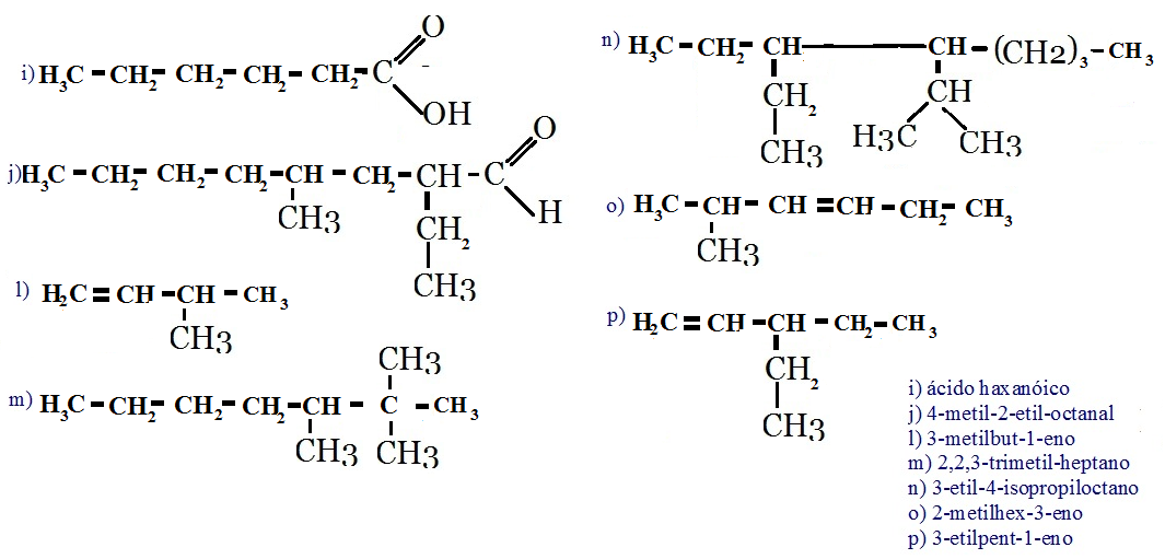
Exercícios Resolvidos Sobre a Nomenclatura dos Compostos Orgânicos



A nomenclatura dos compostos orgânicos. Abaixo vamos encontrar as seguintes funções orgânicas:
  • Hidrocarbonetos
  • Cetonas
  • Aldeídos
  • Álcoois
  • Ácidos Carboxílicos

1 comentários:

Anônimo disse...

Ótimo exercicio, me ajudou bastante, parabéns!

Postar um comentário

Deixe seus comentário ou faça alguma sugestão nesse blog.

Página Anterior Próxima Página Home

Tabela Periódica